【代码随想录】二叉树1-遍历
wbfwonderful Lv5

二叉树概念

满二叉树和完全二叉树

image

image

二叉搜索树

二叉搜索树是一个有序树。

  • 若它的左子树不空,则左子树上所有结点的值均小于它的根结点的值;
  • 若它的右子树不空,则右子树上所有结点的值均大于它的根结点的值;
  • 它的左、右子树也分别为二叉排序树

image

平衡二叉搜索树,又被称为AVL(Adelson-Velsky and Landis)树,且具有以下性质:它是一棵空树或它的左右两个子树的高度差的绝对值不超过1,并且左右两个子树都是一棵平衡二叉树。

image

存储方式

链式存储:

image

顺序存储:

image

如果父节点的数组下标是 i,那么它的左孩子就是 i * 2 + 1,右孩子就是 i * 2 + 2。

遍历

  • 深度优先遍历
    • 前序遍历(递归法,迭代法)
    • 中序遍历(递归法,迭代法)
    • 后序遍历(递归法,迭代法)
  • 广度优先遍历
    • 层次遍历(迭代法)

注意,这里前中后,其实指的就是中间节点的遍历顺序,只要大家记住前中后序指的就是中间节点的位置就可以了。

二叉树的递归遍历

迭代(iteration)是重复反馈过程的活动,其目的通常是逼近所需目标或结果;递归(recursion)是重复调用函数自身。迭代通常由计数器来判断是否结束;而递归则满足终止条件才逐层返回。

递归三要素:

  • 确定递归函数的参数和返回值:参数为当前节点,返回值为结果数组(在方法内定义迭代函数,可以不设置返回值)
  • 确定终止条件:当前节点为空则返回
  • 确定单层递归的逻辑:三个步骤,根据遍历的类型来调整顺序
    • 遍历当前节点(将当前节点的内容加到结果数组中)
    • 遍历左子树
    • 遍历右子树

前序遍历代码如下,中序和后序遍历只需要更改递归函数中的逻辑顺序即可

1
2
3
4
5
6
7
8
9
10
11
12
13
14
15
16
17
18
19
# Definition for a binary tree node.
# class TreeNode:
# def __init__(self, val=0, left=None, right=None):
# self.val = val
# self.left = left
# self.right = right
class Solution:

def preorderTraversal(self, root: Optional[TreeNode]) -> List[int]:
res = []

def recursion(node):
if node != None:
res.append(node.val)
recursion(node.left)
recursion(node.right)

recursion(root)
return res

二叉树的迭代遍历

递归的实现是:每一次递归调用都会把函数的局部变量、参数值和返回地址等压入调用栈中,然后递归返回的时候,从栈顶弹出上一次递归的各项参数,所以这就是递归为什么可以返回上一层位置的原因。

前序遍历

当栈不为空时,将栈顶节点 pop,访问其元素,并将其子节点分别放入栈中。注意要先放右节点再放左节点,以保证左节点先访问。

1
2
3
4
5
6
7
8
9
10
11
12
13
14
15
16
17
18
19
20
21
# Definition for a binary tree node.
# class TreeNode:
# def __init__(self, val=0, left=None, right=None):
# self.val = val
# self.left = left
# self.right = right
class Solution:

def preorderTraversal(self, root: Optional[TreeNode]) -> List[int]:
res = []

stack = [root]

while len(stack) != 0:
cur = stack.pop()
if cur != None:
res.append(cur.val)
stack.append(cur.right)
stack.append(cur.left)

return res

中序遍历

前序遍历的顺序是中左右,先访问的元素是中间节点(子节点分别放到栈中),先处理的元素也是中间节点(将 val 存入 res),所以刚刚才能写出相对简洁的代码,因为要访问的元素和要处理的元素顺序是一致的,都是中间节点。

中序遍历是左中右,先访问的是二叉树顶部的节点,然后一层一层向下访问,直到到达树左面的最底部,再开始处理节点(也就是在把节点的数值放进result数组中),这就造成了处理顺序和访问顺序是不一致的。

对于当前栈顶节点节点,一直遍历左子树,直到为空(访问左);然后,将 val 存入 res(处理中);最后再将当前节点的右子树放到栈中(访问右)。

1
2
3
4
5
6
7
8
9
10
11
12
13
14
15
16
17
class Solution:
def inorderTraversal(self, root: Optional[TreeNode]) -> List[int]:
res = []
stack = []
cur = root
while True:
while cur != None:
stack.append(cur)
cur = cur.left

if len(stack) == 0:
break
cur = stack.pop()
res.append(cur.val)
cur = cur.right

return res

后续遍历

思路 1

和中序遍历一样,对于当前节点,一直遍历其左子树,直到为空(访问左);然后对其右子树进行判断(访问右),如果:

  • 右子树为空,则访问当前元素(处理中)
  • 右子树不为空,此时需要判断当前右子树是否被访问过:
    • 右子树访问过,则访问当前元素
    • 没访问过,则当前节点再次入栈,并且当前指针指向右节点

总结一下,右子树不为空并且没被访问过,则访问右子树;否则访问当前元素,并记录当前元素已经访问。

1
2
3
4
5
6
7
8
9
10
11
12
13
14
15
16
17
18
19
20
21
22
23
24
25
26
27
28
class Solution:

def postorderTraversal(self, root: Optional[TreeNode]) -> List[int]:
res = []

stack = []
cur = root
prev = None

while True:
while cur != None:
stack.append(cur)
cur = cur.left

if len(stack) == 0:
break

cur = stack.pop()

if cur.right != None and prev != cur.right:

stack.append(cur)
cur = cur.right
else:
res.append(cur.val)
prev = cur
cur = None
return res

思路 2

先序遍历是中左右,后序遍历是左右中,那么我们只需要调整一下先序遍历的代码顺序,就变成中右左的遍历顺序,然后在反转result数组,输出的结果顺序就是左右中了。

统一迭代遍历

递归本质上是维护一个栈来保存调用顺序。但是可能会面临访问(访问子节点)和处理(读取值)不同步的情况,导致不同的遍历顺序写法不同。要统一写法,将访问的节点放入栈中,把要处理的节点也放入栈中但是要做标记:

  • 方法一:就是要处理的节点放入栈之后,紧接着放入一个空指针作为标记。 这种方法可以叫做空指针标记法。

  • 方法二:加一个 boolean 值跟随每个节点,false (默认值) 表示需要为该节点和它的左右儿子安排在栈中的位次,true 表示该节点的位次之前已经安排过了,可以收割节点了。 这种方法可以叫做boolean 标记法。这种方法更容易理解,在面试中更容易写出来。

方法一

首先把根节点放到 stack 中(保证不为空),核心逻辑为:栈头元素出栈,判断该节点是否为空

  • 如果为空,说明当前的栈头元素的子元素已经访问过,则当前栈头元素出栈,读取其 val;
  • 如果不为空,说明当前元素的子元素没被访问过,则将当前节点的子节点当前节点和一个空节点加入到 stack 中。(注意 stack 先进先出,所以要逆序,即前序遍历是中左右,则放入 stack 的顺序为:右、左,中+空节点)

前序代码如下,中序和后序只需要更改三个步骤的顺序即可。

1
2
3
4
5
6
7
8
9
10
11
12
13
14
15
16
17
18
19
20
21
22
23
24
25
26
27
28
class Solution:

def preorderTraversal(self, root: Optional[TreeNode]) -> List[int]:
res = []
stack = []
if root != None:
stack.append(root)

while len(stack) != 0:
cur = stack.pop()
if cur != None:
# 右节点入栈
if cur.right:
stack.append(cur.right)

# 左节点入栈
if cur.left:
stack.append(cur.left)

# 中间节点入栈
stack.append(cur)
stack.append(None)

else:
cur = stack.pop()
res.append(cur.val)

return res

方法二

栈存放一个元组,包含节点和一个 flag,表示当前节点的子节点是否被访问过。接下来则和方法一类似,对于每个节点都检查这个 flag,如果为 False,说明子节点没有被访问过,则遍历子节点;如果为 True,则处理当前节点。

1
2
3
4
5
6
7
8
9
10
11
12
13
14
15
16
17
18
19
20
21
22
23
24
25
26
27
# Definition for a binary tree node.
# class TreeNode:
# def __init__(self, val=0, left=None, right=None):
# self.val = val
# self.left = left
# self.right = right
class Solution:

def preorderTraversal(self, root: Optional[TreeNode]) -> List[int]:
res = []

stack = []
if root != None:
stack.append((root, False))

while len(stack) != 0:
cur, flag = stack.pop()
if flag == False:
if cur.right:
stack.append((cur.right, False))
if cur.left:
stack.append((cur.left, False))
stack.append((cur, True))

else:
res.append(cur.val)
return res

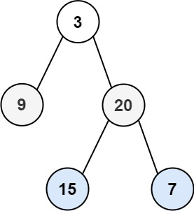
102.二叉树的层序遍历

link

给你二叉树的根节点 root ,返回其节点值的 层序遍历 。 (即逐层地,从左到右访问所有节点)。

示例

image

输入:root = [3,9,20,null,null,15,7]
输出:[[3],[9,20],[15,7]]

思路

一个队列来存储节点。对于当前节点,访问之后将其子节点加入到队列中,直到队列为空。

1
2
3
4
5
6
7
8
9
10
11
12
13
14
15
16
17
18
class Solution:
def levelOrder(self, root: Optional[TreeNode]) -> List[List[int]]:
que = deque()
res = []
if root:
que.append(root)

while que:
cur = que.popleft()

res.append(cur.val)

if cur.left:
que.append(cur.left)
if cur.right:
que.append(cur.right)

return res

不难写出以上代码,但是注意到题目要求每一层的节点在单独的一个 list 中。解决方法,保证每次循环(que 长度不为 0)时,队列中只有一层的节点,所以可以一次性把当前层的所有子节点全部放到队列中。只需要对当前队列进行遍历即可。

1
2
3
4
5
6
7
8
9
10
11
12
13
14
15
16
17
18
19
20
21
22
class Solution:
def levelOrder(self, root: Optional[TreeNode]) -> List[List[int]]:
que = deque()
res = []
if root:
que.append(root)

while que:
cur_level = []
for _ in range(len(que)):

cur = que.popleft()

cur_level.append(cur.val)

if cur.left:
que.append(cur.left)
if cur.right:
que.append(cur.right)

res.append(cur_level)
return res

107.二叉树的层次遍历 II

给定一个二叉树,返回其节点值自底向上的层次遍历。 (即按从叶子节点所在层到根节点所在的层,逐层从左向右遍历)

思路:相较于上一题,只需要把结果反过来即可

199.二叉树的右视图

link

image

思路:遍历每一层时,只需要保留当前层的最后一个元素即可

1
2
3
4
5
6
7
8
9
10
11
12
13
14
15
16
17
18
19
20
21
22
class Solution:
def rightSideView(self, root: Optional[TreeNode]) -> List[int]:
que = deque()
res = []
count = 0
if root:
que.append(root)
count += 1

while que:
l = len(que)
for i in range(len(que)):

cur = que.popleft()
if i == l - 1:
res.append(cur.val)

if cur.left:
que.append(cur.left)
if cur.right:
que.append(cur.right)
return res

637.二叉树的层平均值

给定一个非空二叉树, 返回一个由每层节点平均值组成的数组。

思路:遍历每一层时求均值即可

429.N叉树的层序遍历

和二叉树相同,只不过 N 叉树的子节点为一个 Node 的数组

515.在每个树行中找最大值

将每行数组中最大的值存入 res 即可

116.填充每个节点的下一个右侧节点指针

image

思路:在每一层,针对每一个节点进行操作即可

104.二叉树的最大深度

二叉树的层序遍历,最后返回 res 的长度即可

111.二叉树的最小深度

同样是层序遍历,只不过判断条件是左右孩子全为空则说明到了最浅的节点(因为是严格按照一层一层来进行遍历的)。